During the interwar period and in the early post-war years the majority of published Prof. Groszkowski’s works referred to generation and frequency stabilization. Mentioned are two monographs summarizing Professor’s achievements in the field of electric vibrations generation: „Generation and stabilization of frequency” and „Generation of electric vibrations”. Discussed is frequency stabilization with the use of quartz-crystal resonators, generator internal noises and frequency standards, application of laser atom cooling to frequency standards and standards accuracy. The question is put what is the highest frequency existing in nature and whether zero-point vacuum vibrations are the source of gravity forces.
Spośród wielu dziedzin nauki i techniki, na polu których Profesor Janusz Groszkowski działał i uzyskał znaczące wyniki, dwie umiłował On w sposób szczególny, a mianowicie zagadnienia wytwarzania drgań elektrycznych oraz technikę wysokiej próżni. ,Jednakże w okresie przedwojennym i w pierwszych latach powojennych większość opublikowanych prac Profesora dotyczyła generacji i stabilizacji częstotliwości. Osiągnięcia Profesora w dziedzinie wytwarzania drgań elektrycznych zostały podsumowane po wojnie w dwóch monografiach. Pierwsza pt. „Generacja i stabilizacja częstotliwości” zainicjowana jeszcze w czasie okupacji w ramach spółdzielni „Grupa Techniczna” i wydana w roku 1947 przez Państwowy Instytut Telekomunikacyjny (PIT), była kontynuacją przedwojennej monografii wydanej w roku 1938 [1]. Przypomnijmy, że Profesor był w latach trzydziestych inicjatorem utworzenia PIT oraz jego wieloletnim
dyrektorem. Przytoczę pierwszy akapit tej książki:
„Zagadnienie generacji, czyli wytwarzania prądów zmiennych odgrywa bardzo ważną rolę w technice telekomunikacyjnej, bowiem w dzisiejszym jej stanie do przenoszenia sygnałów używa się w większości przypadków, prądów zmiennych lub fal elektromagnetycznych przez te prądy wytwarzanych. Zakres częstotliwości oraz rozpiętość mocy stosowanych tu prądów zmiennych są bardzo szerokie: od najniższych częstotliwości, spotykanych w technice prądów silnych, do najwyższych, odpowiadającym falom elektromagnetycznym długości rzędu centymetrów lub jeszcze krótszych; od niewielkich mocy rzędu miliwatów, do mocy rzędu megawatów”.
Taki wstęp można by napisać i dzisiaj. Rzecz jasna zakres częstotliwości został rozszerzony do nadfioletu włącznie, a moce bywają ograniczane ze względu na obowiązujące prawo ekologiczne. Druga monografia pt. ,,Wytwarzanie drgań elektrycznych” ukazała się w roku 1958 (PWT) [2]. Znów przytoczę pierwszy akapit przedmowy do tej książki:
„Dziedzina drgań elektrycznych odgrywa poważną rolę zarówno w nauce, jak i technice. Z punktu widzenia nauki obejmuje wiele interesujących zagadnień matematycznych i fizycznych, z punktu widzenia techniki stanowi ona podstawę, na której opierają się niezliczone zastosowania praktyczne”.
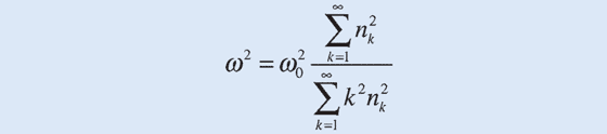
W dziedzinie wytwarzania drgań elektrycznych z wielu prac, dzięki którym Profesor uzyskał światową sławę, szczególnie należy wyróżnić pracę pt. „The Interdependence of Frequency Variation and Harmonic Content and the Problem of Constant Frequency Oscillators”, która ukazała się na łamach znanego czasopisma amerykańskiego Proceedings of the Institute of Radio Engineers (PIRE) w roku 1933 [3]. W pracy tej Profesor omawia metodę, którą w wymienionej wyżej monografii opisał w rozdziale 7.7, o tytule „Metoda równowagi mocy urojonej”. Pierwszy opis metody nastąpił jednak o rok wcześniej w czasopiśmie Wireless Engineer, tom 9, nr 107, 1932, s. 446, oraz w języku polskim w Przeglądzie Radiotechnicznym, z. 23, 1932 oraz z. 24, 1933 [4]. Na stronie 252 wymienionej monografii odnajdujemy słynny wzór Groszkowskiego o postaci

nk jest zawartością k-ej harmonicznej w przebiegu napięcia (lub prądu) drgań, zaś ω20 jest kwadratem pulsacji rezonansowej obwodu drgań. Rzecz jasna metoda równowagi harmonicznych stanowi tylko cząstkę obszernej wiedzy o generacji i stabilizacji częstotliwości zawartej w wymienionej monografii. Wersja angielska tej monografii została wydana w roku 1964 przez Pergamon Press.