Szczegółowy przegląd właściwości modeli matematycznych wyładowania głównego został przedstawiony m.in. w [1]. Rozpływ prądów piorunowych w poszczególnych elementach urządzenia piorunochronnego oraz systemu uziomowego ma ogromne znaczenie dla ochrony odgromowej obiektów budowlanych. Do analizy rozpływu prądu piorunowego możemy wykorzystać pakiet CDEGS [6, 9], którego zastosowanie umożliwia wyznaczenie prądów płynących w poszczególnych elementach nadziemnej i ułożonej w gruncie części urządzenia piorunochronnego. Do modelowania głównego wyładowania piorunowego jest wykorzystywane źródło prądowe podłączone do pionowego przewodu symulującego kanał wyładowania. Ponadto istnieje możliwość obliczenia prądu płynącego w dowolnej części (segmencie) modelu kanału wyładowania piorunowego.
Modelowanie kanału wyładowania piorunowego
Rozpływ prądu piorunowego analizowano wykorzystując pakiet oprogramowania CDEGS. Symulowano zagrożenie pojawiające się w czasie bezpośredniego wyładowania piorunowego w obiekt budowlany. Za miejsce uderzenia pioruna wybrano narożnik obiektu. Źródłem zagrożenia był prąd udarowy o wartości szczytowej 100 kA i kształcie 10/350 μs opisany równaniem [5]
gdzie:
Imax – wartość szczytowa prądu,
k – współczynnik korekcyjny wartości szczytowej prądu,
τ1, τ2 – stałe czasu czoła i czasu grzbietu,
t – czas.
Obliczenia przeprowadzono dla urządzenia piorunochronnego dużego obiektu mieszkalnego (rys. 1) o wymiarach 40 × 40 × 20 m (szer. × dł. wys.). Przewody odprowadzające urządzenia piorunochronnego zostały połączone z uziomem otokowym. Wymiary oka siatki na dachu wynosiły 20 × 20 m. Urządzenie piorunochronne zostało zaprojektowane z drutu o średnicy 8 mm. Uziom otokowy obiektu budowlanego został umieszczony w ziemi na głębokości 0,6 m w odległości 1 m od budynku. Rezystancja gruntu miała wartość 100 Ωm. Dodatkowo została zamodelowana instalacja elektryczna oraz uziom stacji transformatorowej znajdujący się 50 m od obiektu.
![]()  | 
 
 
 
 
 
 
 
 
 
 
 
 
 
 Rys. 1. Schemat analizowanego urządzenia piorunochronnego   | 
Kanał wyładowania piorunowego zamodelowano w postaci cienkiego przewodu o średnicy 3 cm. Wykorzystując publikacje [4, 7, 8] jako materiał kanału przyjęto plazmę oraz jej rezystancję wynoszącą 4,54 × 10-5 Ωm.
Obliczenia przeprowadzono z uwzględnieniem modelu kanału wyładowania piorunowego dołączonego do zwodu pionowego w narożniku badanego obiektu budowlanego (rys. 1). Źródło prądowe w tym przypadku znajdowało się na wierzchołku pionowego przewodu modelującego kanał wyładowania i wytwarzało prąd udarowy. Długość kanału zmieniano w przedziale od 50 do 2000 m (wybrano 50, 100, 250, 500, 1000 i 2000 m). Policzono także rozpływ prądów bez uwzględnienia kanału wyładowania – ze źródłem prądowym umieszczonym na jednym ze zwodów pionowych. Na rysunkach 2 i 3 zamieszczono wybrane wykresy prądów wpływających do urządzenia piorunochronnego (po przejściu fali prądowej przez kanał) oraz do przewodów odprowadzających. Na rysunku 2 przedstawiono wyniki obliczeń z uwzględnieniem modelu kanału wyładowania piorunowego o długości 2000 m. Dla tej długości kanału możemy zauważyć tłumienie oraz opóźnienie fali prądowej. Maksymalna wartość przebiegu wynosi wtedy 96 856 A, a więc o ponad 3% mniej niż wymagane 100 kA. Ponadto fala zostaje opóźniona po przejściu przez kanał o ok. 6,67 μs przy założeniu że fala ta rozchodzi się z prędkością światła.

Rys. 2. Prąd wpływający do: a) urządzenia piorunochronnego, b) przewodów odprowadzających. Wyniki obliczeń z uwzględnieniem modelu kanału wyładowania piorunowego o długości l = 2000 m
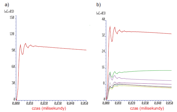
Z kolei na rysunku 3 umieszczono wykresy prądów wpływających do urządzenia piorunochronnego oraz przewodów odprowadzających, ale są to już wyniki obliczeń z uwzględnieniem modelu kanału wyładowania piorunowego o długości tylko 250 m. Zauważyć tutaj możemy obecność oscylacji, które są wynikiem zachodzących zjawisk falowych. Oscylacje te mają stosunkowo niewielkie amplitudy.

Rys. 3. Prąd wpływający do: a) urządzenia piorunochronnego, b) przewodów odprowadzających. Wyniki obliczeń z uwzględnieniem modelu kanału wyładowania piorunowego o długości l = 250 m
Biorąc pod uwagę powyższe rozważania, w celu uwzględnienia kanału wyładowania piorunowego w obliczeniach numerycznych, zaproponowano jego model o długości 2000 m. Na szczycie tego kanału zostało umieszczone źródło prądowe wytwarzające prąd o odpowiednio zmodyfikowanym kształcie i wartości amplitudy, tak aby prąd wpływający do urządzenia piorunochronnego miał odpowiednie parametry, które określone są w normie ochrony odgromowej. Modyfikacji źródła prądowego dokonano przeprowadzając wstępne obliczenia numeryczne i na podstawie tego dobrano wartość amplitudy 104,5 kA (ze względu na tłumienie fali prądowej) oraz kształt 5/330 μs (ze względu na odkształcenie fali po przejściu przez kanał). Taka modyfikacja źródła prądowego umieszczonego na szczycie kanału pozwala na otrzymanie przebiegów prądu u podłoża kanału, zgodnych z normą ochrony odgromowej, tzn. wartości szczytowej 100 kA i kształcie 10/350 μs.
W tabeli przedstawiono rozpływy prądu piorunowego w przewodach odprowadzających badanego obiektu. Porównując oba rozpływy prądów, można wywnioskować, że różnice są niewielkie i wynoszą maksymalnie do kilkunastu procent. Poza tym sumy prądów w tych rozpływach różnią się tylko o ok. 1%. Zatem wpływ modelu kanału wyładowania piorunowego jest niewielki. Należy wspomnieć też, iż metoda obliczeniowa zaimplementowana w pakiecie oprogramowania CDEGS bazuje na teorii pola elektromagnetycznego, co wiąże się z czasochłonnością obliczeń. Uwzględniając w obliczeniach model kanału wydłuża się odpowiednio czas oczekiwania na wyniki.
Wartości szczytowe prądów płynących w przewodach odprowadzających
| Numer przewodu odprowadzającego | 
 Bez uwzględnienia modelu kanału wyładowania piorunowego  | 
Z uwzględnieniem modelu kanału wyładowania piorunowego o długości l = 2000 m i zmodyfikowanym źródłem prądowym | Różnica [%] | 
| 1 | 36 286 | 35 147 | 3,14 | 
| 2 | 15 345 | 15 395 | 0,33 | 
| 3 | 8246 | 8750 | 6,11 | 
| 
 4  | 
 7600  | 
7835 | 3,09 | 
| 5 | 6397 | 7227 | 12,97 | 
| 6 | 7685 | 7800 | 1,50 | 
| 7 | 7952 | 7994 | 0,53 | 
| 8 | 12 446 | 10 830 | 12,98 | 
| Suma | 101 957 | 100 978 | – | 
Podsumowanie
W artykule przedstawiono podejście do modelowania zagrożeń piorunowych z uwzględnieniem modelu kanału wyładowania piorunowego. Dokonana została analiza wpływu tego kanału na rozpływ prądu w urządzeniu piorunochronnym. Dla kanału o długościach od ok. 100 do ok. 1000 m przebiegi prądu mają charakter częściowo oscylacyjny, co jest związane z zachodzącymi zjawiskami falowymi. Natomiast model kanału o długości 2000 m wprowadza istotne tłumienie fali prądowej oraz jej odkształcenie. W związku z tym zaproponowano podejście do rozwiązania problemu poprzez zastosowanie modyfikacji parametrów źródła prądowego umieszczonego na szczycie kanału o odpowiedniej długości. Modyfikacji dokonano w taki sposób, aby otrzymać u podłoża kanału prąd o parametrach określonych w normie ochrony odgromowej. Po analizie otrzymanych wyników okazało się, iż wpływ modelu kanału wyładowania piorunowego jest niewielki. Modelowanie zagrożenia piorunowego z pominięciem kanału daje wystarczająco dokładne wyniki a czas obliczeń zostaje zauważalnie skrócony.
LITERATURA:
[1] Aniserowicz K.: Analiza zagadnień kompatybilności elektromagnetycznej w rozległych obiektach narażonych na wyładowania atmosferyczne. Wydawnictwo Politechniki Białostockiej, Białystok 2005
[2] Cooray V.: On the concepts used in return stroke models applied in engineering practice. IEEE Transactions on Electromagnetic Compatibility 2003 No 1 [3] Gomes C., Cooray V.: Concepts of lightning return stroke models. IEEE Transactions on Electromagnetic Compatibility 2000 No 1 [4] Markowska R.: Analiza zagrożenia piorunowego urządzeń w obiektach radiokomunikacyjnych. Rozprawa doktorska, Politechnika Białostocka, Białystok 2006 [5] PN-IEC 62305-1 Ochrona odgromowa. Część 1: Ogólne zasady [6] Program CDEGS, www.sestech.com [7] Ratnamahilan P., Hoole P.: Modeling the lightning earth flash return stroke for studying its effects on engineering systems. IEEE Transactions on Magnetics 1993 No 2 [8] Theethayi N., Cooray V.: On the representation of the lightning return stroke process as a current pulse propagation along a transmission line. IEEE Transactions on Power Delivery 2005 No 2 [9] Wiater J.: Influence of different lightning source models on current distribution in the HV Substation. Przegląd Elektrotechniczny 2010 nr 3