Wymagania ochrony przeciwporażeniowej wg aktualnych aktów prawnych
Instalacje i urządzenie elektryczne, obok innych wymagań, powinny zapewniać ochronę przed porażeniem prądem elektrycznym [1]. Wymagania w stosunku do instalacji wyposażonych w system automatyki budynkowej BMS (Building Management System) są nie mniejsze niż w instalacjach tradycyjnych. Niemniej przy zabezpieczaniu takich obwodów należy uwzględnić ich specyfikę.
W arkuszu normy PN-HD 60364-4-41 wymienione są rodzaje i środki ochrony przeciwporażeniowej z podziałem na te, które mogą być stosowane do zabezpieczenia obwodów obsługiwanych przez osoby niewykwalifikowane oraz na te obsługiwane przez osoby wykwalifikowane lub poinstruowane. Instalacje elektryczne w budynkach mieszkalnych i biurowych użytkowane są przez osoby niewykwalifikowane, co w pewnym stopniu organiczna możliwe do zastosowania środki ochrony przeciwporażeniowej (tab. 1).
Tab. 1. Rodzaje i środki ochrony przeciwporażeniowej [2]:
| 
 Rodzaj ochrony  | 
 Środek ochrony  | 
| Ochrona podstawowa | 
 Izolacja podstawowa części czynnych Przegrody lub obudowy  | 
| Ochrony przy uszkodzeniu | 
 Samoczynne wyłączenie zasilania Izolacja podwójna lub izolacja wzmocniona Separacja elektryczna do zasilania jednego odbiornika  | 
| Ochrona przez zastosowanie bardzo niskiego napięcia | Obwody SELV lub PELV | 
| Ochrona uzupełniająca | 
 Urządzenia ochronne różnicowoprądowe o znamionowym prądzie różnicowym 30 mA Dodatkowe połączenia wyrównawcze  | 
Norma [2] została przywołana w rozporządzeniu Ministra Infrastruktury z dn. 12 kwietnia 2002 r. w sprawie warunków technicznych, jakim powinny odpowiadać budynki i ich usytuowanie (z późn. zm.). Rozporządzenie to określa specyficzne warunki, jakie musi spełniać instalacja elektryczna. W szczególności należy stosować w niej [1]:
- złącza instalacji elektrycznej budynku, umożliwiające odłączenie od sieci zasilającej i usytuowane w miejscu dostępnym dla dozoru i obsługi oraz zabezpieczone przed uszkodzeniami, wpływami atmosferycznymi, a także ingerencją osób niepowołanych,
 - oddzielny przewód ochronny i neutralny, w obwodach rozdzielczych i odbiorczych,
 - urządzenia ochronne różnicowoprądowe uzupełniające podstawową ochronę przeciwporażeniową i ochronę przed powstaniem pożaru, powodujące w warunkach uszkodzenia samoczynne wyłączenie zasilania,
 - wyłączniki nadprądowe w obwodach odbiorczych,
 - zasadę selektywności (wybiórczości) zabezpieczeń,
 - przeciwpożarowe wyłączniki prądu,
 - połączenia wyrównawcze główne i miejscowe, łączące przewody ochronne z częściami przewodzącymi innych instalacji i konstrukcji budynku,
 - zasadę prowadzenia tras przewodów elektrycznych w liniach prostych, równoległych do krawędzi ścian i stropów,
 - przewody elektryczne z żyłami wykonanymi wyłącznie z miedzi, jeżeli ich przekrój nie przekracza 10 mm2,
 - urządzenia ochrony przeciwprzepięciowej.
 
Na szczególną uwagę zasługuje punkt trzeci, mówiący o konieczności stosowania wyłączników różnicowoprądowych (WRP). Nieprawidłowy dobór rodzaju wyłącznika może prowadzić w niektórych przypadkach do sytuacji, w której ochrona przeciwporażeniowa będzie nieskuteczna.
Rezystancja izolacji
W instalacjach i urządzeniach elektrycznych ochronę podstawową przed porażeniem elektrycznym zapewnia się poprzez wykorzystanie izolacji części czynnych (tab. 1). Minimalne wartości rezystancji izolacji oraz wartości napięcia pomiarowego dla różnych napięć znamionowych obwodów przedstawiono w tabeli 2. Przeprowadzając pomiar rezystancji izolacji należy pamiętać o odłączeniu odbiorników elektrycznych.
Tab. 2. Minimalne wartości rezystancji izolacji [7]:
| 
 Napięcie nominalne obwodu  | 
 Napięcie probiercze d.c.  | 
 Rezystancja izolacji  | 
| SELV i PELV | 250 V | 
 ≥ 0,5 MΩ  | 
| Do 500 V włącznie, w tym FELV | 500 V | ≥ 1,0 MΩ | 
| Powyżej 500 V | 100 V | ≥ 1,0 MΩ | 
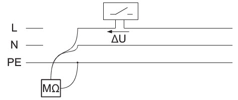
W systemach automatyki budynkowej często można spotkać elementy montowane w puszkach instalacyjnych, schowanych w ścianie lub przykrytych wszelkiego rodzaju łącznikami. Jeżeli elementy te wykorzystują przekaźniki elektromagnetyczne do sterowania pracą odbiorników, to do przeprowadzenia pomiaru powinno wystarczyć ich załączenie (rys. 1). W takiej sytuacji nie powinno pojawić się napięcie mogące spowodować uszkodzenie sterownika, gdyż każdy z wyprowadzonych zacisków znajdzie się pod tym samym potencjałem względem siebie, a także względem przewodu neutralnego (w przypadku instalacji TN-S). Zazwyczaj takie sterowniki nie są podłączone do przewodu ochronnego PE.

Rys. 1. Pomiar rezystancji izolacji instalacji sterowanej z wykorzystaniem przekaźnika elektromagnetycznego jako łącznika
Dodatkowy problem pojawia się w momencie, kiedy urządzenie sterujące wymaga napięcia sieciowego lub dodatkowego napięcia magistralnego do działania. Ponieważ przy pomiarze rezystancji izolacji odłącza się przewody czynne, to nie będzie możliwe załączenie takiego elementu.
Inaczej wygląda sytuacja, kiedy zastosowane sterowniki wykorzystują elementy półprzewodnikowe do regulacji pracą odbiorników (rys. 2). Najczęściej dzieje się tak, gdy są one wykorzystywane do sterowania oświetleniem żarowym. Może to prowadzić do wystąpienia przerwy w badanym obwodzie, nawet pomimo pozornego załączenia sterownika. Dodatkowo sam sterownik może nie być przystosowany do pracy, nawet krótkotrwałej, przy podwyższonym napięciu stałym.

Rys. 2. Pomiar rezystancji izolacji instalacji sterowanej z wykorzystaniem sterownika elektronicznego jako łącznika
Jeżeli pojawi się taki problem, konieczne może okazać się odłączenie takich sterowników, a także wykonanie większej liczby pomiarów ze względu na powstałe przerwy w obwodzie. Jeżeli odłączenie takich urządzeń jest w sposób uzasadniony niewykonalne (np. w przypadku stałych gniazd wtyczkowych z wbudowanymi SPD), napięcie probiercze dotyczące szczególnego obwodu może być obniżone do 250 V d.c., ale rezystancja izolacji powinna mieć wartość co najmniej 1 MΩ [7].
Dobór wyłączników różnicowoprądowych
Ze względu na nakaz stosowania wyłączników różnicowoprądowych do zabezpieczenia instalacji elektrycznych, należy zastanowić się nad prawidłowym sposobem ich doboru. Najczęściej stosowanym WRP jest wyłącznik typu AC, rzadziej typu A. Wyłączniki typu AC działają na prądy różnicowe sinusoidalnie przemienne [3]. Ich minimalne oraz maksymalne czasy zadziałania przedstawiono w tablicy 3. Widać z niej, że maksymalne czasy są znacznie krótsze, niż dopuszczalne przy ochronie poprzez samoczynne wyłączenie zasilania określone w normie [2] (najczęściej przyjmuje się czas 0,4 s).
Tab. 3. Minimalne i maksymalne czasy wyłączenia wyłączników typu AC [4]:
| 
 Typ włącznika  | 
 Prąd In  | 
 Prąd IΔn  | 
 Czas wyłączenia [w sekundach] dla prądu uszkodzeniowego IΔn o wartości:  | 
 Uwagi  | 
||
| 
 A  | 
 A  | 
 IΔn  | 
 2 IΔn  | 
 5 IΔn  | 
||
| bezzwłoczny | dowolny | 
 dowolny  | 
 0,3  | 
 0,15  | 
 0,04  | 
 czas maksymalny  | 
| selektywny S (zwłoczny) | ≥ 25 | ≥ 0,03 | 0,5 | 0,2 | 0,15 | czas maksymalny | 
| 0,13 | 0,06 | 0,05 | czas minimalny | |||
Podane w tablicy 3 maksymalne czasy wyłączania odnoszą się również do wyłączników typu A i B, z tym, że wartości prądów uszkodzeniowych (różnicowych) IΔn, 2 IΔn, 5 IΔn niesinusoidalnych należy powiększyć przy pomiarze czasu zadziałania, mnożąc je przez współczynnik 1,4 w przypadku wyłączników, których IΔn > 0,01 i przez 2 w przypadku wyłączników, których IΔn ≤ 0,01 A [4]. 
Coraz częściej wykorzystywanie urządzeń, wyposażonych w elektroniczne i energoelektroniczne elementy półprzewodnikowe, prowadzi do pojawienia się w instalacji elektrycznej prądów różnych od sinusoidalnych, zarówno w warunkach pracy normalnej, jak i w przypadku uszkodzenia [3]. W systemach automatyki budynkowej, ze względu na użytkowanie znacznej liczby urządzeń sterujących, staje się to zjawiskiem normalnym. Wytworzyło to zapotrzebowanie na wyłączniki typu A, reagujące na przepływ prądu odkształconego, w tym jednopołówkowo wyprostowanego, a także stałego pulsującego [3]. W odróżnieniu od wyłączników typu AC, dla typu A nie podaje się wprost prądów powodujących zadziałanie, uzależnia się je natomiast od kąta wysterowania przebiegu prądu rażeniowego (tablica 4).
Tab. 4. Zakresy prądu zadziałania wyłączników typu A [4]:
| 
 Kąt α  | 
 Prąd zadziałania [A]  | 
|
| 
 graniczny dolny  | 
 graniczny górny  | 
|
| 0° | 0,35 IΔn | 
 1,4 IΔn lub 2 IΔn*  | 
| 90° | 0,25 IΔn | |
| 180° | 0,11 IΔn | |
| 
 * współczynnik 1,4 w przypadku wyłączników, których IΔn > 0,01 i przez 2, w przypadku wyłączników, których IΔn ≤ 0,01 A  | 
||
Aby prawidłowo dobrać wyłącznik WRP niezbędna jest wiedza o tym, jaki rodzaj odbiornika będzie zasilany z danego obwodu. W systemach automatyki budynkowej można wyróżnić trzy warianty obwodów:
- wariant I: wykorzystany jest element sterujący, ale tylko w zakresie załącz/wyłącz, odbiornik nie posiada elementów półprzewodnikowych,
 - wariant II: element sterujący może wpłynąć na kształt prądu rażeniowego lub odbiornik wyposażony jest w elementy półprzewodnikowe,
 - wariant III: obwód służy do zasilania elementów SELV, PELV lub części instalacji na napięcie stałe.